溶解在水中的分子態氧稱為溶解氧。溶解氧的飽和含量和空氣中氧的分壓、大氣壓力、水溫有密切關系。清潔地面水溶解氧一般接近飽和,廢水中的溶解氧含量一般較低。
測定水中溶解氧常用碘量法及其修正法,還可用溶解氧儀測定。氧化性物質可使碘化物游離出碘,產生正干擾;還原性物質可把碘還原成碘化物,產生負干擾。
水樣中亞硝酸鹽氮含量高于0.05mg·L-1、二價鐵含量低于1mg·L-1時,采用疊氮化鈉修正法,此法適用于多數污水及生化處理水;水樣中二價鐵含量高于1mg·L-1時,采用高錳酸鉀修正法;水樣有色或有懸浮物,采用明礬修正法;含有活性污泥懸濁物的水樣,采用硫酸銅—氨基磺酸絮凝修正法。
膜電極法和快速溶氧儀法是根據分子氧透過薄膜的擴散速率來測定水中溶解氧,方法簡便、快速、干擾少,可用于現場測定。
關于水中溶解氧的測定方法,本文主要為大家介紹的是碘量法和膜電極法。
用碘量法測定水中溶解氧,水樣應采集在溶解氧瓶中。采集水樣時,要注意過程中不要使水樣曝氣或有氣泡殘存在采樣瓶中。用水樣沖洗溶解氧瓶后,沿瓶壁直接傾注水樣或用虹吸法將細管插入溶解氧瓶底部,注入水樣至溢流出瓶容積1/3~1/2。采集后,為防止溶解氧的變化,在取樣現場立即固定并存于暗處,同時記錄水溫和大氣壓力。
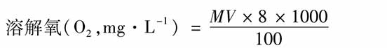
水樣中加入硫酸錳和堿性碘化鉀,水中的溶解氧將低價錳氧化成高價錳,生成四價錳的氫氧化物沉淀。加酸后,氫氧化物沉淀溶解并和碘離子反應而釋放出碘。滴定時先用硫代硫酸鈉溶液滴定至溶液呈淡黃色,然后加入淀粉作指示劑,繼續用硫代硫酸鈉滴定至藍色剛好退去為止。由硫代硫酸鈉的用量,可計算溶解氧的含量:

式中M——硫代硫酸鈉溶液的濃度,mol·L-1;V——滴定時消耗硫代硫酸鈉的量,mL。
(1)如果水樣中含有氧化性物質(如游離氯大于0.1mg·L-1時),應預先向水樣中加入硫代硫酸鈉去除。用兩個溶解瓶各取一瓶水樣,在其中一瓶加入5mL硫酸和1g碘化鉀,搖勻,此時游離出碘。以淀粉作指示劑,用硫代硫酸鈉溶液滴定至藍色剛退,記下用量(相當于去除游離氯的量)。于另一瓶水樣中,加入同樣量的硫代硫酸鈉溶液,搖勻后,按操作步驟測定。
(2)如果水樣呈強酸性或強堿性,可用氫氧化鈉或硫酸調至中性后測定。
水中含有亞硝酸鹽時干擾碘量法測溶解氧,可加入疊氮化鈉,使水中亞硝酸鹽分解,以消除干擾。在不含其他氧化還原物質時,若水樣中含Fe3+達100~200mg·L-1時,可加入1mL40%氟化鉀溶液,以消除干擾。
實驗步驟同碘量法。僅將堿性碘化鉀換成堿性碘化鉀—疊氮化鈉溶液。若含Fe3+干擾,則插入液面下前先加入1mL的40%氟化鉀溶液。
(1)疊氮化鈉是一種劇毒、易爆試劑,不能將堿性碘化鉀—疊氮化鈉溶液直接酸化,否則產生有毒煙霧。
(2)水樣呈強酸或強堿性,可用氫氧化鈉或硫酸調至中性。
(3)在操作過程中切勿產生氣泡。
(4)硫代硫酸鈉濃度容易變化,每次使用都要標定。
膜電極法所采用的電極由一小室構成,室內有兩個金屬電極并充有電解質,用選擇性薄膜將小室封閉住。實際上水和可溶解物質離子不能透過這層膜,但是氧和一定數量的其他氣體及親水性物質可透過這層薄膜。將這種電極浸入水中進行溶解氧測定。
因原電池作用或外加電壓使電極間產生電位差。這種電位差,使金屬離子在陽極進入溶液,而透過膜的氧在陰極還原。由此所產生的電流直接與透過膜與電解質液層的氧的傳遞速度成正比,因此該電流與給定溫度下水樣中氧的分壓成正比。
因膜的滲透性明顯地隨溫度而變化,所以必須進行溫度補償??刹捎脭祵W方法,也可使用調節裝置,或者利用在電極回路中安裝熱敏元件加以補償。
膜電極法適用于天然水、污水和鹽水。如果用于測定海水或港灣水等,須對含鹽量進行校正。
根據所采用電極的不同類型,可測定氧的濃度,或氧的飽和百分率,或兩者皆可測定。本方法可測定水中飽和百分率為0%~100%的溶解氧。大多數儀器能測定高于100%的過飽和值。一般儀器僅適用于溶解氧大于0.1mg·L-1的水樣測定。
膜電極法適于測定色度高及渾濁的水,還適于測定含鐵及能與碘作用的物質的水,而上述方法會干擾碘量法測定。一些氣體和蒸氣如氯、二氧化硫、硫化氫、胺、氨、二氧化碳、溴和碘能擴散并通過薄膜。如果上述物質存在,會影響被測電流而產生干擾。樣品中存在其他物質,會引起薄膜阻塞、薄膜損壞或電極被腐蝕而干擾被測電流。這些物質包括溶劑、油類、硫化物、碳酸鹽等。
以上內容就是關于水中溶解氧的測定方法的相關介紹,希望能夠給大家帶來幫助。